AP 2 Maths TS1 du vendredi 28/09/12
EXERCICE
On considère l'énoncé suivant:
1. f est la fonction définie sur l'intervalle ] - 3 , + ∞ [ par :
a. Etudier les variations de f sur l'intervalle ] - 3 , + ∞ [.
b. En déduire que
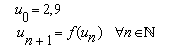
2. Soit la suite ( un ) définiesur IN par :
a. Démontrer que la suite ( un ) est bornée.
b. Etudier la monotonie de la suite ( un ) .
c. En déduire que la suite ( un ) est convergente.
-------------------------------------------------------------------------------------------------------------
