DS n ° 2 TS1 8 novembre 2013 2 heures
-------------------------------------------------------------------------------------------------------------------------------------------------
EXERCICE 1
Le plan est muni d'un repère orthonormal ( direct ):
Soit le polynôme:
P(z) = z3 + 3 z2 + 3 z - 63 où z est un nombre complexe.
1. Calculer P( 3 ).
2. Trouver trois nombres réels a , b , c tels que :
P( z ) = ( z - 3 ) ( a z2 + b z + c ) pour tout nombre complexe z.
3. Résoudre l'équation P ( z ) = 0 dans l'ensemble des nombres complexes.
4. Soit les points A , B , C d'affixes respectives zA = 3 , zB = - 3 + 2 i √3 , zC = - 3 - 2 i √3 .
Placer ces points dans le repère orthonormal du plan.
5. Déterminer l'ensemble de points M d'affixe z du plan tels que | z + 3 - 2 i √3 | = | z + 3 + 2 i √3 | .
--------------------------------------------------------------------------------------
EXERCICE 2
Soit les nombres complexes non nuls:
z1 = 1 + i √3 et z2 = 1 + i .
1. Donner la forme algébrique du quotient:
2. Donner les formes trigonométriques et exponentielles de z1 et z2 .
En déduire la forme exponentielle puis trigonométrique de :
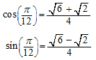
Montrer qu'en conséquence:
3. En raison de l'unicité de la forme algébrique établir que :
------------------------------------------------------------------------------------------------------
EXERCICE 3
Soit les points A ( 1 + 3 i ) , B ( 3 + i ) et C( 4 + 2 i ) du plan
muni d'un repère orthonormal
1. Etablir que:
Les points A , B et C sont-ils alignés ?
2. Donner un argument du nombre complexe non nul :
3. Déterminer l'affixe du point D tel que ABCD soit un parallélogramme.
------------------------------------------------------------------------------------------
BON COURAGE
