INFO EXERCICE 4 BAC S 2013
EXERCICE 4
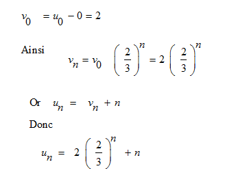
Soit la suite numérique
définie sur IN par:
1.a. Calculer
On pourra en donner une valeur approché à 10-2 près.
On a: u1 = 7 / 3 c-à-d u1 ≈ 2,33
u2 = 26 / 9 c-à-d u2 ≈ 2,88
u3 ≈ 3,59
u4 ≈ 4,39
b. Formuler une conjecture sur le sens de variation de cette suite.
Elle semble croissante sur IN.
2. a . Démontrer que pour tout entier naturel n
un ≤ n + 3
Faisons une récurrence sur IN.
• n = 0
On a : u0 ≤ 0 + 3 car 2 ≤ 3
• Soit n dans IN quelconque.
Montrons que si un ≤ n + 3 alors un + 1 ≤ n+ 1 + 3
Considérons :

