INFO EX 3 PARTIE A BAC JUIN 2012
EXERCICE 3 ( 6 POINTS ) Commun à tous les candidats
Il est possible de traiter la partie C sans avoir traité la partie B.
PARTIE A
On désigne par f la fonction définie sur l'intervalle [ 1 ; + ∞ [ par
1. Déterminer la limite de la fonction f en + ∞.
+ ∞ est une extrémité de l'intervalle de définition de f.
On peut donc faire la recherche.
On a :
Or lim ln = 0
1
On a donc:
Conclusion: lim f = 0
x→ +∞
2. Démontrer que pour tout réel x de l'intervalle [1 ; +∞[ ,
Dresser le tableau de variation de la fonction f.
Soit les fonctions
• Sur l'intervalle [1 ; +∞[ la fonction rationnelle u est définie dérivable
et strictement positive.
Ainsi la fonction ln o u est définie et dérivable sur l'intervalle [1 ; +∞[ .
• Sur l'intervalle [1 ; +∞[ la fonction rationnelle v est définie et dérivable.
• Donc la fonction f = v + ln o u est définie et dérivable sur [1 ; +∞[ .
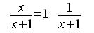
On peut remarque que : u = 1 - v .
En effet :
Donc u ' = - v '
Or v ' : x → -1 / ( x + 1 )2 ( ln o u )' = u' / u = - v ' / u
On a donc :
f ' = v' + ( ln o u)' = v ' - v ' / u
Soit x ≥ 1.
f '( x ) = - 1 / ( x + 1 )2 + [ 1 / ( x + 1 )2 ] / [ x / (x + 1 )]
Faisons une réduction au même dénominateur.
f '( x ) = -1 / ( x + 1 )2 + 1 / [ x( x + 1 ) ] =[ - x + ( x + 1) ] / [ x( x + 1)2 ]
Conclusion : On a bien pour tout x dans [ 1 , +∞ [ , f '( x ) = 1 / [ x( x + 1)2 ]
On a 1 / [ x( x + 1)2 ] > 0 pour tout x dans [ 1 , +∞ [ .
La fonction f est donc strictement croissante sur l'intervalle [ 1 , +∞ [ .
Tableau de variation :
| x | 1 +∞ |
| f '( x ) | + |
| f ( x ) | -0,19 ↑ 0 |
f( 1 ) = 1/2 + ln( 1 / 2 ) = 0, 5 - lin( 2 ) = 0,5- 0,69 = - 0,19
3. En déduire le signe de la fonction f sur l'intervalle [ 1, + ∞ [ .
On dispose de deux informations:
• f est strictement croissante sur l'intervalle [ 1, + ∞ [ .
• f est de limite nulle en +∞ .
Cela suffit pour conclure:
Conclusion : f ≤ 0 sur l'intervalle [ 1, + ∞ [ .
----------------------------------------------------------



