INFO EX4 FEUILLE 1 FONCTION Exp TS Décembre 2012
EXERCICE 4
Trouver les limites suivantes:
AIDE: Penser éventuellement à la notion de
nombre dérivé.
-------------------------------------------------------------------------------------------
REPONSE :
• Cherchons
Soit x un réel non nul.
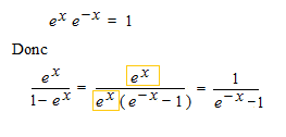
On a :
Or on a :
Donc
Conclusion :
• Cherchons
Pour x réel non nul on peut diviser le numérateur et le
dénominateur par x.
Il vient:
On peut à présent passer à la limite en 0.
Le nombre dérivé de Exp en 0 est e0 = 1.
Conclusion :
• Cherchons
L'idée est de multiplier le dénominateur par 2 et
le numérateur par 2 aussi. Ainsi 2 x - 2 va apparaître au
dénominateur. L'exposant de e est également 2 x - 2 au numérateur.
Conclusion:
------------------------------------------------------------------










