INFO EX 4 BAC BLANC TS1
EXERCICE 4
Soient f et g les fonctions définies sur IR par
f (x) = ex et
On note Cf et Cg les courbes représentatives des fonctions
f et g dans un repère orthogonal.

1. Démontrer que les courbes Cf et Cg ont un point commun
d'abscisse 0 et qu'en ce point , elles ont la même tangente Δ
dont on déterminera une équation.
REPONSE:
Deux interprétations possibles pour la question.
•Premier point de vue: On vérifie que f( 0 ) = g(0)
puis que f '( 0 ) = g' (0 ).
•Second point de vue: On cherche le point d'intersection des
des deux courbes. Cela démontre l'unicité aussi.
Puis on montre que les nombes dérivés sont les
même en l'abscisse de ce point.
Nous allons adopter le second point de vue qui est plus complet.
f et g sont définie dans IR.
Soit x dans IR.
On a :
M(x; y) ∈ Cf ∩Cg ⇐⇒ f (x) = g(x)
c-à-d
c-à-d

c-à-d
Résolvons : X2 − 2 X + 1 = 0
c-à-d ( X − 1 )2 = 0
c-à-d X = 1
Reportons dans X = ex / 2
Il vient 1 = ex / 2 c-à-d e0 = ex / 2
c-à-d x / 2 = 0 c-à-d x = 0
de plus f( 0 ) = e0 = 1
Conclusion: Le seul point commun aux deux courbes est d'abscisse 0
C'est le point de coordonnées A (0 ; 1).
•Calculons f ' ( 0 ) et g' ( 0).
f et g sont définie et dérivables sur IR car la fonction x → x / 2 l'est.
Soit x dans IR.
On a :
f '( x ) = ex Donc f ' ( 0 ) = 1
g '( x ) = 2 ×( 1 / 2 ) ex / 2 = ex / 2
Donc g '( 0 ) = 1
Ainsi en A( 0; 1), leurs tangentes ont, toutes les deux le même cœfficient directeur 1.
Elles ont donc même tangente ∆ d’équation:
y = f ' ( 1 ) (x − 0) + f(1 ) ⇐⇒ y = x + 1.
Conclusion La tangente commune est ∆ : y = x +1
2. Étude de la position relative de la courbe Cg et de la droite ∆.
Soit h la fonction définie sur R par:
a.Déterminer la limite de la fonction h en − ∞.
REPONSE:
On a :
lim eX = 0 d'après le cours
x→ − ∞
et lim x / 2 = − ∞
x→ − ∞
Donc
lim e x / 2 = 0
x→ − ∞
Ainsi:

Conclusion:
lim h(x) = + ∞
x → − ∞
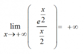
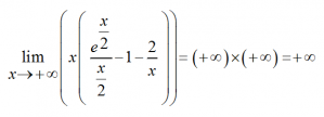
b.Justifier que pour tout réel x ,

En déduire la limite de la fonction h en +∞ .
REPONSE:
Soit x un réel non nul:
On a:

Factorisons x.

Conclusion : On a bien l'égalité.
De plus :
lim ( eX / X ) = + ∞ d'après le cours
x→ + ∞
et
lim( x / 2 ) = + ∞
x→ + ∞
Donc :

Ainsi :

Conclusion
lim h(x) = + ∞
x→ + ∞
c. On note h ' la fonction dérivée de la fonction h sur IR.
Pour tout réel x calculer h' (x ) et étudier le signe de h' (x )
suivant les valeurs de de x
REPONSE:
Soit x dans IR.
On a :

Ainsi : h '( x ) > 0 ⇐⇒ x / 2 > 0
h' ( x ) < 0 ⇐⇒ x / 2 < 0
h ' ( x ) = 0 ⇐⇒ x / 2 = 0
Conclusion:
h ' > 0 sur ] 0 , + ∞ [
h ' < 0 sur ] − ∞ , 0 [
h ' ( 0 ) = 0
d. Dresser le tableau de variation de la fonction h sur IR.
REPONSE:
| x | − ∞ 0 + ∞ |
| f ' ( x ) | − 0 + |
| f( x) | ↓ 0 ↑ |
e. En déduire que , pour tout réel x ,

REPONSE:
Soit x dans IR quelconque.
On a d'après le tableau de variation de h,
h admet un minimum 0 en x = 0 sur IR
Donc: h ( x ) ≥ 0 pour tout x dans IR
c-à-d

c-à-d en ajoutant x + 1 à chaque membre

Conclusion: Le résultat est avéré.
f. Que peut-on en déduire quant aux positions relatives
de la courbe Cg et de la droite Δ?
REPONSE:
Soit x dans IR quelconque.
L'inégalité précédente s'écrit: g( x ) ≥ x + 1
Or on a la droite la droite Δ: y = x + 1
Conclusion: la courbe Cg est au dessus, au sens
large, de la droite Δ sur IR.
3. Etude des positions relatives des courbes Cf et Cg.
a. Pour tout réel x, développer l'expression

REPONSE:
Soit x dans IR quelconque:
On a :

b) Déterminer la position relative des courbes Cf et Cg.
REPONSE:
Soit x dans IR quelconque:
Donc f (x) − g(x) ≥ 0 pour tout réel x.
Ainsi:
Conclusion: la courbe Cf se trouve au dessus de la
courbe Cg sur IR , au sens large.
---------------------------------------------------------------------